A lot of questions have been raised regarding this group after the Hindenburg Report has been published asking 88 questions and with more than 100 page report by substantiating facts.
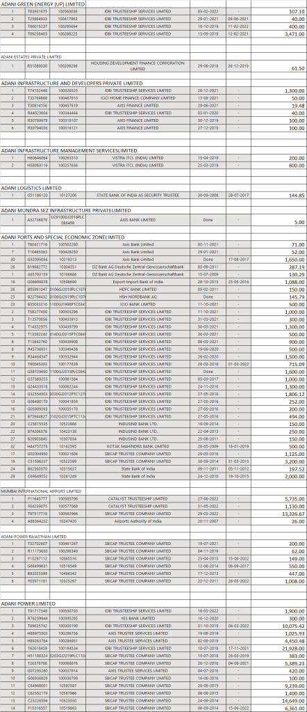
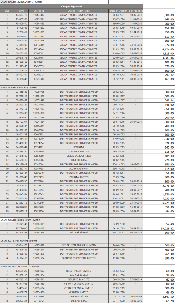
Had I been Adani group, I would have disclosed my registered charges details created with banks in the form of CHG 4 and disclosed each and every details regarding securities pledged with Banks and Debenture holders. So lets analyse the value of Assets mortgaged with Banks and the exposure as per the list of Charges registered at MCA portal.

Detailed Company wise Charges created





Source :MCA
Note:SBI, Catalyst Trustee and IDBI are lead Banks. The exposure of Other PSU;s are included in the name of main trustee.
Now since the damage has been done, will the Banks ask securtiy in the form of Shares of Listed Companies. The above figure doesnt Include the 80000 crore acquisition of Ambuja and ACC whose promoters holding are pledged.Will this invite for further pledge of Securities in the upcoming days. Already Credit Suisse has declared that they will not allow Adani Bonds as security for mortgage. What will be the chain reaction that time will tell.
Now since the damage has been done to the group, the Banks must be short of Collateral Damage. The question is whether The Banks will ask for more.
From CA Nishant Maheshwari and Vishal Vora
Disclosure: Views expressed here are our opinions based on available data. Investors should consult their financial advisors for investment decisions. Please do your own due diligence. We hold no positions in any of the entities mentioned.